AI 모델(딥러닝 기초)/5. 신경망 학습 관련 기술
5. 신경망 학습 관련 기술(5)
Hyeon Lee
2023. 2. 13. 15:05
728x90
※ Dropout 기법
overfitting 개선을 위한 방법으로 신경망 모델이 복잡해져 가중치 감소만으로 대응이 어려울 때 사용한다.
- 뉴런을 임의로 삭제하면서 학습하는 방법(자연스러운 가중치 감소 방식)
- 훈련 시에 데이터를 흘릴 때마다 삭제할 뉴런을 무작위로 선택하고, test 때 모든 뉴런에 신호를 전달한다. test 때는 각 뉴런의 출력에 훈련 때 삭제 안 한 비율을 곱하여 출력한다.
class Dropout:
def __init__(self, dropout_ratio=0.5):
self.dropout_ratio = dropout_ratio
self.mask = None
def forward(self, x, train_flg=True):
if train_flg:
self.mask = np.random.rand(*x.shape) > self.dropout_ratio
return x * self.mask
else:
return x * (1.0 - self.dropout_ratio)
def backward(self, dout):
return dout * self.mask
self.mask에 x와 형상이 같은 배열을 무작위로 생성하고, dropout_ratio 보다 큰 경우 원소만 True로 설정한다. train_flag=True를 통해서 순전파 시에 self.mask에 x를 곱하여 그대로 흘려준다. 역전파에서는 ReLU와 같은 동작을 한다.
순전파 때 신호를 통과시키는 뉴런은 역전파 때도 신호를 그대로 통과시키고, 순전파 때 통과시키지 않은 뉴런은 역전파 때도 신호를 차단한다.
# coding: utf-8
import os
import sys
sys.path.append(os.pardir) # 부모 디렉터리의 파일을 가져올 수 있도록 설정
import numpy as np
import matplotlib.pyplot as plt
from dataset.mnist import load_mnist
from common.multi_layer_net_extend import MultiLayerNetExtend
from common.trainer import Trainer
(x_train, t_train), (x_test, t_test) = load_mnist(normalize=True)
# 오버피팅을 재현하기 위해 학습 데이터 수를 줄임
x_train = x_train[:300]
t_train = t_train[:300]
# 드롭아웃 사용 유무와 비울 설정 ========================
use_dropout = True # 드롭아웃을 쓰지 않을 때는 False
dropout_ratio = 0.2
# ====================================================
network = MultiLayerNetExtend(input_size=784, hidden_size_list=[100, 100, 100, 100, 100, 100],
output_size=10, use_dropout=use_dropout, dropout_ration=dropout_ratio)
trainer = Trainer(network, x_train, t_train, x_test, t_test,
epochs=301, mini_batch_size=100,
optimizer='sgd', optimizer_param={'lr': 0.01}, verbose=True)
trainer.train()
train_acc_list, test_acc_list = trainer.train_acc_list, trainer.test_acc_list
# 그래프 그리기==========
markers = {'train': 'o', 'test': 's'}
x = np.arange(len(train_acc_list))
plt.plot(x, train_acc_list, marker='o', label='train', markevery=10)
plt.plot(x, test_acc_list, marker='s', label='test', markevery=10)
plt.xlabel("epochs")
plt.ylabel("accuracy")
plt.ylim(0, 1.0)
plt.legend(loc='lower right')
plt.show()
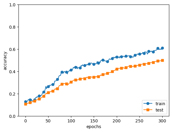
MNIST 데이터셋을 활용한 301개의 epoch을 조사해보았다. dropout 기법을 사용하여 구현하여 적용한다.

결과는 위와 같이 나오면서 301개의 epoch 들이 dropout이 적용되어 적절한 값의 차이를 가지며 overfitting을 개선할 수 있다. 또한, 훈련 데이터 정확도가 100%에 도달하는 일도 개선되어 표현력을 높이면서 오버피팅도 억제하는 효과를 불러올 수 있었다.
728x90